您好,欢迎访问
RTO、RCO、RTO焚烧炉
专业制造商-无锡泽川环境科技有限公司!
企业邮箱
0510-83751142
网站首页
走进泽川
产品展示
RTO焚烧装置...
吸附处理装...
溶剂回收装...
洗涤塔装置
异味处理装...
Cembrane膜
新闻动态
工程业绩
联系我们
—— 新闻动态 ——
NEWS
首页
>
新闻中心
公司简介
产品中心
工程业绩
联系我们
新闻中心
人才招聘
RTO之挥发性有机物污染控制方案的运行费用效能比较
发布时间:2020-04-22 23:11:00 点击:
RTO焚烧炉
、
RTO
专业生产厂家无锡泽川环境2020年4月22日讯
当前,中国挥发性有机物( volatile organic compounds,VOCs) 的污染控制工作已进入深水区,VOCs 污染控制措施费用效能的高低将决定其减排工作的环保意义,筛选出费用效能高的措施也是 VOCs 减排工作能够持续稳定进行的必要基础。
本文从排放浓度、排放风量及连续还是间歇排放等污染源排放特征角度确定出 12 种典型的 VOCs 排放情景,针对这些典型情景估算了目前主流减排方案的运行费用,并以减排单位质量 VOCs 的运行费用( unit abatement cost,UAC,元·kg - 1,以 VOCs 计) 为费用效能指标进行了技术经济比较,以期为依据 VOCs 排放特征选择适宜的减排方案提供参考。
分析结果表明,对于低浓度VOCs 排气,其减排 UAC 总体达 8 元·kg - 1以上,浓缩工序可有效减少 UAC,通过合理地气体收集方式减少排放风量并提高排气浓度对后续处理的费用效能影响巨大. 强化 VOCs 排放过程的按质分类收集以提高得到 VOCs 液体的资源化属性,也是今后提高 VOCs 控制费用效能的有效途径之一。
随着对挥发性有机物 ( volatile organiccompounds,VOCs) 作为大气光化学污染物和雾-霾污染物的前驱物质认识的加深[1 ~ 9],近几年来我国出台了一系列的VOCs控 制政策、法 规[10 ~ 14],VOCs 的控制已成为大气污染控制领域的重要工作之一. 与颗粒物、二氧化硫和氮氧化物等常规大气污染物不同,VOCs 污染物的种类多、来源广,很多排放为分散式非连续排放,且 VOCs 物质具有资源性属性,因此其减排是一项涉及源头减排、过程控制、末端治理及管理制度的全过程控制的系统工程。
表 1 所示为我国 VOCs 控制过程的发展阶段分类
目前大多数地区的 VOCs 的控制还处在以达标为唯一考核指标的达标生存阶段. 由于 VOCs 控制工作的复杂性,加之基础工作的缺失,很多情况下选择 VOCs 控制技术时存在盲目跟风的情况. 从技术经济的角度看,运行成本很高的减排技术是不利于减排系统长期稳定运行的. 很多情况下,不合理的控制方案尽管可以满足达标排放的要求,但会造成资源能源的浪费、二次污染及很高的碳排放,从生命周期的角度分析,这类表面上的减排行为往往在更大的范围上形成了更严重的污染。
目前研究较多关注于 VOCs 控制的技术有效性评估[15 ~ 20]污染控制方案的技术经济评价的方法[21], 但关于技术经济方面的评价报道很少,且还限于单项技术或单情景的分析[22]. 考虑到 VOCs 排放源的复杂性,目前从生命周期的角度全过程地评价控制方案情景的体系将会非常复杂和庞大,因此本文先聚焦于末端治理环节,针对 VOCs 排放的一些典型情景,系统地估算了目前主流控制方案的运行费用,并以 UAC 为指标进行了技术经济比较,以期为依据 VOCs 排放特征选择适宜的减排方案提供参考。
技术评价指标及计算方法
1. 1 评价指标
如前所述,VOCs 污染源种类多、排放特性各异,造成 VOCs 控制的复杂性和多样性,由于设备投资涉及到系统材料、安全等配置要求的不同,对于同一类污染源的控制设备系统的价格可能差异较大,因此本次技术经济评价,主要以从气相中去除单位质量 VOCs 的 UAC 为评价指标,以期为 VOCs 控制系统的选择及 VOCs 控制政策的制定提供参考.UAC = O&MC × [Q × ( ρin - ρout ) × 10 -6 × t]-1 式中,Q 是处理气体的流量,m3·h - 1 ; ρin和 ρout分别是治理系统进口、出口气体质量浓度,mg·m - 3 ; t 是 计算的时长,h; O&MC 是 t 时间段内减排设施的运行维护成本,元.
1. 2 典型减排情景及工艺的设定
VOCs 控制的技术体系如图 1 所示。
图
1 VOCs
控制技术单元体系
Fig.
目前可行的主流减排工艺为各类热氧化,包括蓄热高温氧化( regenerative thermal oxidation,
RTO
) 、催化氧化( catalytic oxidation,CO ) [23,24]、 蓄热催化氧化(regenerative catalytic oxidation,RCO) 、吸附浓缩加各类热氧化和吸附浓缩回收[25]. 预处理和后处理( 包括调温、调湿、颗粒物去除、酸性气体的洗涤等) 对于治理系统的持续稳定运行非常重要,但考虑到本阶段评价工作的简洁性,未将预处理、后处理的成本纳入本阶段的评价范围. 由于常温氧化只适合于一些低污染物负荷的脱臭等场合[26,27],目前的技术水平还不适合作为 VOCs 的减排手段,因此也未纳入待评价的备选方案体系.不同行业 VOCs 污染源的排放特性除与生产工艺特性相关外,还与气体收集方式密切相关,有关过程控制和气体收集环节将另文讨论,本文按 VOCs排放源是否连续排放、排放浓度的高低及风量的大小等选取设定了表 2 所示的 12 种典型排放情景.
按表 2 情景设定的净化工艺评价方案如表 3所示.
1) 连续大风量和高浓度排放应通过清洁生产的途径解决,本文未设为典型排放情景
1. 3 运行费用的计算方法及设定条件
本次评估的运行费用包括电费( 包括风机、水泵,冷却循环水、制冷、压缩空气及控制系统等设施的电耗) 、补充燃气、加热用水蒸汽、耗材费用( 包括催化剂、活性炭、沸石转轮、蓄热材料及阀门等消耗材料及备品备件更换维护费用) 、废水处理费用和人工费等. 当净化系统产生有机液体不可回收回用时会产生废液处置费用,而可回收回用时将产生溶剂收益费用. 本文将其划分为电力( 相关风机、水泵、冷却塔、制冷设备、制氮设备的电耗) 、燃料及热能( 天然气及蒸汽) 、人工费、消耗材料及备品备件、二次污染及有机物回收效益等方面进行分析,本文中的运行费用中暂时未包括气体预处理的调温、调湿费用,来气中可能共存的酸性气体洗涤及含杂原子组分燃烧后产生的二次污染等处理费用.
为便于比较,运行费用计算中的基本条件假定如下.
目前工业过程排放较多的有机物有烃类、酮 类、酯类、醇类和卤代烃类,由于后续热氧化补充燃料计算涉及到燃烧热值,本文取甲苯、丁酮、乙酸乙酯和异丙醇的平均燃烧热( 33 784 kJ·kg - 1 ) 为后续计算的燃烧热( 卤代烃热值通常较低,且一般情况下不宜燃烧,故未计入) . 风机、水泵能耗统一按流量、压差及 75% 综合能效计,燃料按天然气计,热 源 按 8 kg·cm - 2 的 饱 和 蒸 汽 计. 电 费 按 0. 8元·( kW·h) - 1,天然气按 3. 5 元·m - 3,蒸汽按 0. 3元·kg - 1 . 人工费用按 3 班制,每人日均费用 200 元.备品备件部分,催化剂空速按15 000 h - 1计,设计使用寿命20 000 h,按 400 元·L - 1计. 活性炭寿命按 2 a计,15 000元·t- 1,过滤风速 0. 5 m·s - 1 . 蜂窝蓄热陶瓷40 000 h寿命计.
对于
RTO
而言,系统的压差按3 500 Pa计,RCO压差按2 500 Pa计,催化燃烧 CO 暂按1 200 Pa计,颗粒炭吸附装置系统的压差按1 500 Pa计,沸石转轮浓缩装置考虑到去除颗粒物等预处理的压差合计按1 200 Pa计,纤维活性炭压差按3 500 Pa计.
RTO
的平均进出口温差按 40℃ 计( 热利用率在 90% ~95% ) . 换向周期按 90 s 计. RTO 启动升温时间 3 小 时,温升速率设为约 4 ℃·min - 1 . 旋转吸附浓缩装置的主体气体进、出口温差按 8℃计,浓缩后再生气流与主体气流的温差按 30℃ 计. 浓缩装置的浓缩比按10 倍计. CO 的床层温度设定为 350℃,进、出口气流的温差设为 140℃ .
吸附设备按 8 h 保护作用时间计,水蒸汽再生考虑到除水及冷却工序,氮气保护再生按 4 h 再生周期计.
风机、水泵功率按设备系统压差可得到单位流体流量的功率,天然气和蒸汽按系统热平衡和惯例计算. 净化过程产生废水处理费用按高浓度废水100 元·t - 1计,净化过程产生有机液体在无法回收回用时,须支付 6 元·kg - 1的危废处置费用; 当有机液体可以回收回用时按品质( 含水率等) 可获得 3 ~ 4元·kg - 1的收益.
2 不同情景的评价结果及讨论
2. 1 低浓度大风量连续排放情景
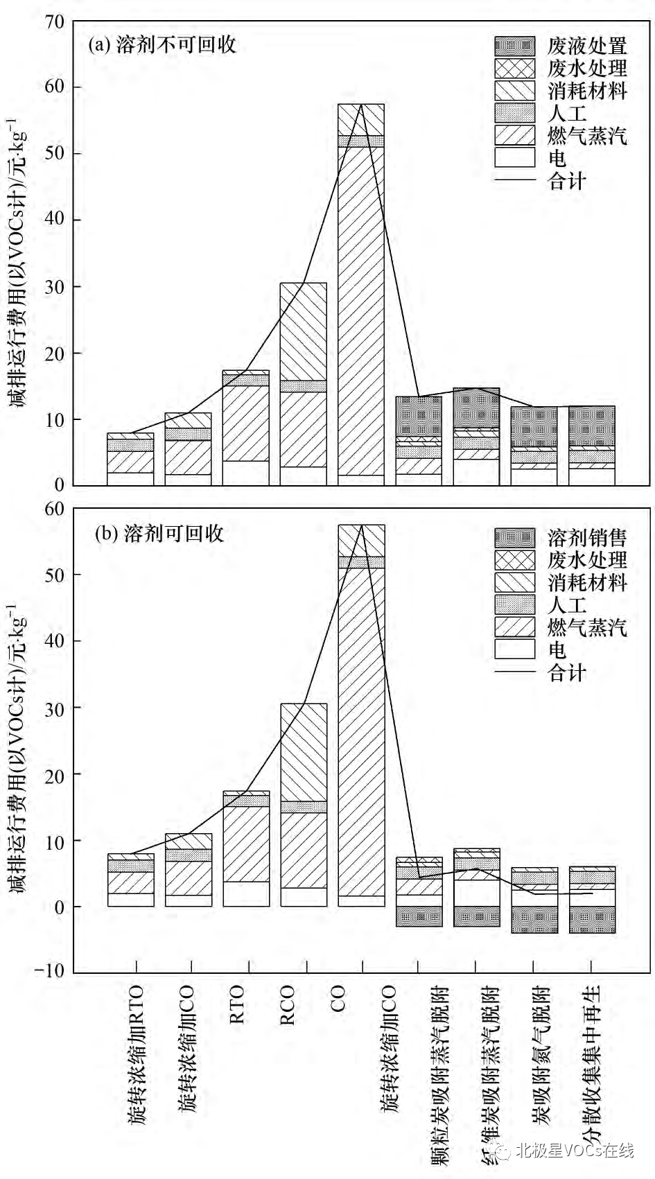
低浓度( 约 300 mg·m - 3 ) 大风量连续排放情景不同减排方案的 UAC 如图 2 所示.
图
2
连续大风量
300 mg
·
m - 3
情景不同减排方案的
UAC
Fig.
由图 2( a) 可见,对于低浓度连续排放的有机气体净化方案,在治理过程产生废液需要外委处理的情况下,旋转浓缩加RTO 的处理费用最小,但也需要 7. 9 元·kg - 1,最高 的直接催化氧化法CO达 57. 5元·kg - 1,直接采用RTO法的费用为17. 4 元·kg - 1.
由图 3 可见,由于来气中有机物浓度低,因此各类热氧化法的辅助燃料占比在 37% ~ 86% .
3
连续大风量
300 mg
·
m - 3
浓度不同方案( 溶剂不可回收回用)
UAC
分项比例
RCO 与
RTO
相比,因需要使用催化剂,且对通常应用的三床 RCO 而言是三份催化 剂,尽管电和天然气的费用略低于RTO,但折算的总体 UAC 要较 RTO 高 30% . 采用前置旋转浓缩后,总体 UAC 下降 43% ~ 523%,低浓度气体净化系统前置浓缩工艺可有效地减少运行过程的总体能耗. 对于吸附回收类方案,在净化过程中得到的有机液体不可回收回用的情况下,总体 UAC 在11. 9 ~ 14. 7 元·kg - 1 之间,其废液外委处置的费用将运行费用提高了近 1 倍,此时吸附回收类方案的运行费用均高于热氧化方案中旋转浓缩加 RTO. 但从图 2( b) 可见,当得到的有机液体可以回收回用时,回收类方 案的 UAC 将下降到 1. 97 ~ 5. 7元·kg - 1,均远低于氧化类方案的费用. 因此强化VOCs 排放过程的分类收集以提高得到 VOCs 液体的资源化属性,是今后提高 VOCs 控制费用效能比的有效途径之一.
2. 2 连续排放不同浓度对 UAC 的影响
2. 2. 1 热氧化方案
热氧化方案对不同浓度连续排放气体的 UAC如图 4 所示.
图
4
不同浓度对热氧化类方案
UAC
的比较
从中可见,排气中 VOCs 的浓度越低,各类热氧化方案的 UAC 越高. 300 mg·m - 3浓度时,参照图 2 可知,旋转浓缩加
RTO
的组合方案 UAC达 7. 9 元·kg - 1 ; 而不采用预浓缩的催化燃烧在热回收率 60% 时,在辅助燃料和催化剂费用因素的共同作用下,UAC 高达 57. 4 元·kg - 1 ; RTO 尽管热回收效率达 90% 以上,但因入口浓度低,运行费用也需17. 4 元·kg - 1,而 RCO 加上催化剂的费用因素其UAC 也达 30. 5 元·kg - 1 . 由此可见,低浓度时维持热氧化过程所需的辅助燃料量是决定运行成本的关键因素. 1 000 mg·m - 3浓度时,旋转浓缩加 RTO 的组合方案费用降到 1. 53 元·kg - 1,纯 RTO 方案的费用降到 2. 86 元·kg - 1,RCO 和 CO 方案的费用分别下降到 6. 9 元·kg - 1和 14. 9 元·kg - 1 . 2 000 mg·m - 3浓 度时,旋转浓缩的意义已不大,且一级浓缩装置的排气已 较 难 达 标,此 时 RTO 方 案 的 费 用 为 0. 91元·kg - 1,RCO 和 CO 的 UAC 分别 2. 88 元·kg - 1 和5. 63 元·kg - 1 . 总体而言,中低浓度时不建议采用CO 方案. 当浓度为6 000 mg·m - 3时,RTO 方案的费用为 0. 71 元·kg - 1,RCO 为 1. 35 元·kg - 1,CO 为0. 755 元·kg - 1 . 与 RTO 相比,CO 的占地少且荷载轻,便于设施的布置,因此高浓度时,由于气体本身有机物的热值够高,且气体中不含对催化剂不利成分时,CO 总体上更具优势. 此外,如果前期旋转浓缩可将污染物浓度浓缩到6 000 mg·m - 3以上,旋转浓缩加 CO 也是较佳的方案之一.
2. 2. 2 吸附回收方案
不同浓度吸附回收类方案的运行费用如图 5所示
图
5
不同浓度对吸附回收类方案
UAC
的比较
由图 5( a) 可见,在产生的液体无法回收回用需要外 委 处 置 时,吸附回收类方案的 UAC 均 在 7 元·kg - 1以上,且随入口浓度增加导致的运行费用下降的变 化 程 度 要 远 小 于 热 氧 化 类,主 要 是6 000元·t- 1的危废处置费用在运行费用中占了很大的比例. 而当产生的液体可回收回用并产生经济效益时,从图 5( b) 可见,当浓度超过1 000 mg·m - 3时,回收 工艺 4 元·kg - 1 的溶剂效益可抵消掉电、蒸汽、人 工、消耗材料及废水处理等的费用,并产生盈余; 达 到2 000 mg·m - 3的浓度时,净化回收 1t 有机液体的直接运行成本在 1. 38 ~ 1. 84 元·kg - 1,如不考虑精制费用,均可实现 1 元·kg - 1 以上的收益. 从提高VOCs 的控制费用效能比的角度,分类分质收集以提高回收液的可用性具有非常重要的意义.
2. 3 低浓度不同排放特征的影响
低浓度( 约 300 mg·m - 3 ) 不同排放特征排气净化的 UAC 情况如图 6 所示. 从图 6( a) 可见不同排放特征对热氧化类方案的运行费用影响较大.
图
6
低浓度情景不同排放特征对不同方案
UAC
的影响情况
相对于稳定排放过程的旋转浓缩加
RTO
方案,不稳定排放工况情景下的 UAC 将增加 16% ~ 38%不等,每天启动且运行时间最短情景的 UAC 增加最多,浓度波动因素对该方案的 UAC 影响要小于非连续运行因素; 与稳定排放的旋转浓缩加 CO 方案相比,不稳定排放情景下的 UAC 将增加 10% ~ 40% 不 等,且浓度波动因素对该方案的 UAC 的影响要大于非连续运行因素,原因是 CO 的 UAC 对入口浓度比较敏感; 非稳定排放情景 RTO 方案的 UAC 将较稳定排放增加 3% ~ 69% 不等,也是以每天启动且运行时间最短的工况为最甚,启动能耗对 RTO 的 UAC影响较大.
由于吸附段的缓存和蓄积能力、设备的启停和来气浓度波动对吸附类方案的运行影响较小,因 此 UAC 基本没有变化.“分散收集、集中再生”方 案,因吸附装置需要移动,其 UAC 要略高于在线就地吸附、脱附装置,其优势是可用一套再生装置伺服多套吸附装置,提高再生装置的利用率从而节约总体投资费用. 与连续排放情景一样,对于非连续和非稳定排放而言,当吸附回收产生的液体不能回收回用时,吸附回收类方案的 UAC 因废液处置费用的缘故仍然要略高于浓缩加热氧化类方案中的旋转浓缩加 RTO,但远低于不带浓缩的热氧化方案的 UAC. 从图 6 ( b) 可见,如果产生的有机液体能够回收回用,吸附回收类方案的 UAC 将远低于各类热氧化方案.
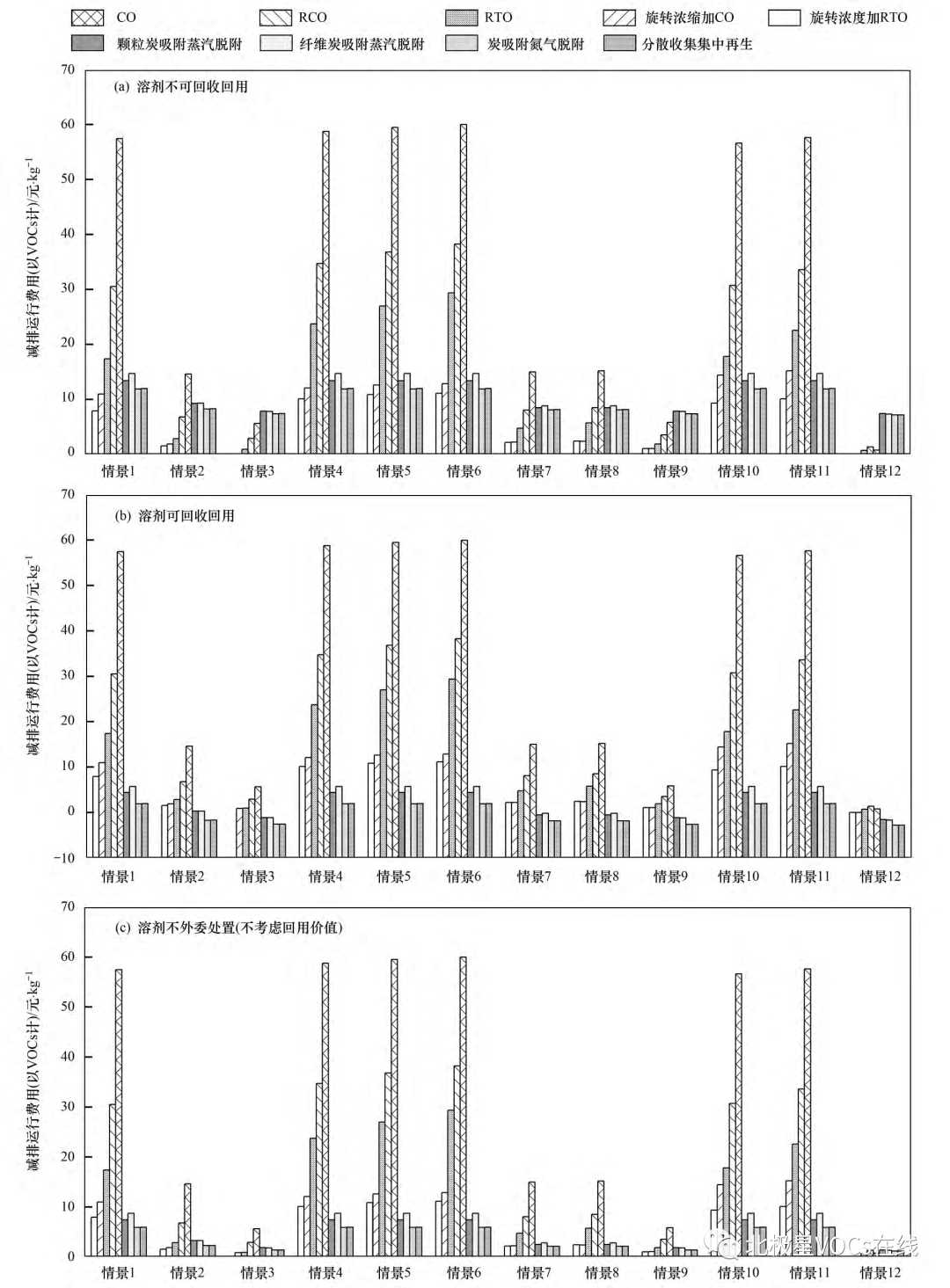
2. 4 12 种情景总体情况
本节主要讨论按表 3 排放情景和方案组合得到 的 UAC 总体情况,如图 7 所示
图
7
不同排放情景不同排放方案的
UAC
总体比较情况
由图 7 可知,不同浓度不同排放特征情景下,不同减 排 方 案 VOCs 的 UAC 相 差 巨 大,从 近 60元·kg - 1到回收有价值有机液体产生效益. 总体而言,如果净化回收得到的有机物液体不可回收回用,且待处理气体有机物浓度较低时,宜优先采用旋转浓缩加
RTO
和旋转浓缩加 CO,其次为吸附回收类方案,不宜直接采用 CO、RCO 或 RTO; 当待处理气体有机物浓度在1 000 mg·m - 3左右时,宜优先采用旋转浓缩加 RTO、旋转浓缩加 CO,其次为 RTO 或RCO,然后是吸附回收类方案,不宜采用 CO; 当待处理气体有机物浓度在2 000 mg·m - 3左右时,宜优先采用 RTO、RCO 及 CO,其次是吸附回收类方案,旋转浓缩的意义已不明显; 当 气 体 浓 度 为 6 000mg·m - 3以上的高浓度时,优先采用占地少和自重小的 CO 或带热能回收的 RTO 和 RCO.
当净化回收得到的有机物液体可回收回用时,应优先采用吸附回收类方案,其次是低浓度时旋转浓缩加热氧化,高浓度时直接热氧化.
当净化回收得到的有机物液体无需外委处理( 也不考虑回收利用) ,在浓度不大于1 000 mg·m - 3时,应优先采用吸附回收类方案,而当浓 度 大 于2 000 mg·m - 3时,应优先采用各类直接热氧化方案.
今后将继续开展不同类型高浓度情景的评估( 包括资源回收和能源回收) ,以及包括投资费用和占地需求安装便利等因素在内的综合费用效能评估.
3 结论
( 1 ) 热氧化类方案对于入口 VOCs 浓 度 300mg·m - 3的 UAC 在 7. 9 ~ 57. 5 元·kg - 1之间; 浓缩和蓄热换热效率的提高可有效地降低运行成本. 热氧化类方案对于入口 VOCs 浓度1 000 mg·m - 3的 UAC在 1. 5 ~ 14. 6 元·kg - 1之间,2 000 mg·m - 3时在 0. 7~ 5. 7 元·kg - 1之间; 入口浓度高将有效降低热氧化类工艺的 UAC.
( 2) 对于吸附回收类方案,如回收液不能回用时,入口浓度 300 mg·m - 3 的 UAC 在 11. 9 ~ 13. 4元·kg - 1,1 000 mg·m - 3 时 为 8. 2 ~ 9. 3 元·kg - 1,2 000 mg·m - 3时在 7. 3 ~ 7. 9 元·kg - 1 ; 如回收液可回用,则入口浓度 300 mg·m - 3的 UAC 在 2. 0 ~ 4. 4元·kg - 1之间,1 000 mg·m - 3时为 0. 26 到盈收 1. 75元·kg - 1, 2 000 mg·m - 3 时 为 盈 收 1. 1 ~ 2. 2元·kg - 1 .
( 3) 对于吸附回收类方案,其回收液是否能回用对 UAC 影响巨大,也是决定选择热氧化法还是回收法的关键依据.
( 4) 低浓度排放情景中,浓缩加热氧化方案用于非稳定排放时较用于稳定排放时的 UAC 将增加10% ~ 40% 不等,其中旋转浓缩加 RTO 方案 UAC 增加幅度受启动能耗的影响大,旋转浓缩加 CO 方案UAC 受来气浓度波动的影响大,但吸附回收类方案UAC 受非稳定排放因素的影响不大.
< 上一篇
RTO之整车和汽车零部件(涂装)制造业涉VOCs 危险废弃物有哪些
下一篇 >
VOCs废气焚烧RTO系统天然气耗量计算
© 无锡泽川环境科技有限公司 2018 All RIGHTS RESERVED
技术支持:楚汉网络
|
苏ICP备16065968号-1